Регистрация

Участок в Колодищах продали за 99 тысяч долларов. Итоги земельного аукциона

22.08.2025 14328

Сегодня состоялся аукцион по продаже земельных участков в частную собственность граждан Беларуси для строительства жилых домов в Минском районе. Какие наделы были предложены участникам аукциона и как прошли торги по лотам, читайте в нашем материале.

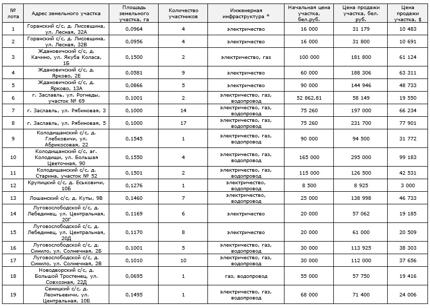
Всего на аукцион было предложено 19 участков. Земельные наделы на этот раз выставляли на аукцион Горанский, Ждановичский, Колодищанский, Крупицкий, Лошанский, Луговослободской, Новодворский и Сеницкий сельсоветы, а также г. Заславль.

Заславский горисполком предложил на аукцион 3 участка на улицах Рогнеды, Рябиновой, 3, и Рябиновой, 5. Эти земельные наделы выставлялись на торги на июньском аукционе, однако были сняты с торгов до начала проведения аукциона по причине изменения кадастровой стоимости участков. Она возросла, что повлекло за собой увеличение начальной цены земельных наделов. Но это не сказалось на количестве участников, желающих купить участки.

Так, на земельный надел на ул. Рябиновой, 3, зарегистрировалось 14 человек, на ул. Рябиновой, 5, — 17 человек. Участки насчитывают по 10 соток и оснащены электричеством, газом и водой. Они были выставлены на аукцион по одинаковой стартовой цене — за 75 260 рублей каждый. (На аукционе в июне они предлагались за 50 920 рублей). Сегодня в ходе торгов цена на участок на ул. Рябиновой, 3, возросла до 197 000 рублей, или 66 234 доллара по курсу Нацбанка на день проведения аукциона.

Цена на участок на ул. Рябиновой, 5, выросла до 231 700 рублей, или 77 901 доллара.

На участок № 69 на ул. Рогнеды подали 2 заявки. Он также насчитывает 10 соток и оснащен электричеством, газом и водой. Начальная цена на лот составила 52 862 рубля. (В июне этот участок предлагали за 45 545 рублей).

Сегодня лот продали за 58 149 рублей, или 19 550 долларов.

Ждановичский сельсовет выставлял на аукцион 3 участка. По самой высокой начальной цене — за 100 000 рублей — был предложен надел в д. Качино на ул. Якуба Коласа, 1Б. Площадь участка составляет 15 соток. Из коммуникаций имеются электричество и газ.

Лот пожелали купить 2 человека. Он реализован за 181 800 рублей, или 61 124 доллара.

На небольшой участок 5,8 сотки в д. Ярково, 2 Е, подали 9 заявок. Он оснащен только электричеством и был выставлен на аукцион за 60 000 рублей. Лот удалось продать за 188 306 рублей, или 63 311 долларов.

На участок в д. Ярково, 13 А,  поступило 5 заявлений. Он насчитывает 8,66 сотки и оснащен электричеством.

При начальной цене 90 000 рублей лот продали за 144 946 рублей, или 48 733 доллара.

Колодищанский сельсовет также выставлял на аукцион 3 участка. По самой высокой начальной цене — за 165 000 рублей — на торгах был предложен участок в Колодищах на ул. Большой Цветочной, 90. Площадь участка составляет 15,5 сотки. Он оснащен электричеством, газом и водой.

На лот претендовали 4 человека. Участок продали за 295 000 рублей, или 99 183 доллара.

На участок в д. Глебковичи на ул. Абрикосовой, 22, поступило 2 заявления. На земельный надел № 52 в д. Старина подали также 2 заявки.

На участок в д. Куты, 9 В, Лошанского сельсовета претендовали 8 человек. (На аукционе в июне на участок в д. Куты, 9Б, подали 17 заявлений).

Земельный надел насчитывает 14,6 сотки. Есть возможность подведения к дому электричества и воды. Лот был оценен в 25 000 рублей. За него удалось выручить 138 998 рублей, или 46 733 доллара.

Луговослободской сельсовет выставлял на аукцион 4 участка в д. Лебединец (2) и д. Синило (2). На участок в д. Лебединец на ул. Центральной, 20 Г, поступило 7 заявлений, на ул. Центральной, 20 Д, — 9 заявок. Пять человек заинтересовал участок в д. Синило на ул. Солнечной, 2 Б. На участок на ул. Солнечной, 2 В, подали 10 заявлений.

Более подробную информацию о лотах и ценах продаж участков смотрите в таблице.

Организатором аукциона выступил Минский областной центр инвестиций и приватизации.

Читать:
Лента новостей
Опрос
Как вы считаете, покупать квартиру лучше сейчас или следует подождать?