Насколько изменились «жировки»? Сравниваем платежки для квартир с разными параметрами

28.03.2016 5 3878

Карина Комиссарчик, Карина Комиссарчик

Разговоры о «жировках» не утихают уже несколько месяцев. Вначале нас оповестили об удорожании основных коммунальных услуг — электричества, воды, отопления. Все ждали ЖКУ, посчитанные по новым тарифам. Когда оказалось, что насчитали слишком много, белорусы строили предположения по поводу суммы перерасчета. Смотрим, насколько значительной стала сумма перерасчета.

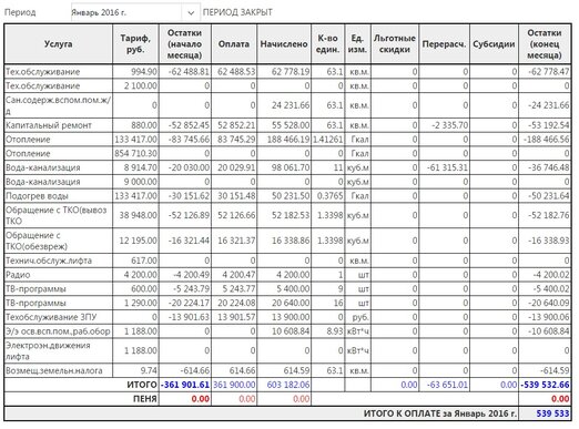
Мы взяли пять разных квартир и сравнили сумму их коммунальных платежей за январь и февраль 2016 года. Итак, владельцы двухкомнатной квартиры площадью 63 кв. м за январь заплатили коммунальным службам Br539,5 тыс. За февраль платеж снизился до Br442,5 тыс. Дом обслуживается ЖЭУ. В квартире зарегистрировано 6 человек, проживает — 4 человека. Интересно, что для этой квартиры перерасчет был сделан еще в январской «жировке» — Br63,6 тыс.

За однокомнатную квартиру площадью 43 кв. м за январь 2016 года пришел платеж Br1,3 млн. За февраль 2016 года — Br716 тыс. Причем переплата за январь получилась всего Br87 тыс. В квартире никто не зарегистрирован, проживает один человек. Дом обслуживает ТСЖ, что несколько удорожает некоторые пункты в «жировке», но не значительно.

Далее, за «трешку» площадью 63 кв. м за январь владельцы заплатили Br534 тыс., за февраль — Br421 тыс. Пересчитали лишь Br26 тыс. В квартире зарегистрировано и проживает три человека. Дом обслуживается ЖЭУ.

У нас есть «жировка», посчитанная по льготным тарифам. В квартире с тремя комнатами площадью 91 кв. м проживает одинокий пенсионер. В январе за услуги ЖКХ нужно было заплатить Br485 тыс., а за февраль — Br354,3 тыс. Сумма перерасчета составила Br22,9 тыс.

За «однушку» площадью 48 кв. м, где прописано 5 человек, за январь пришел платеж в Br485,8 тыс., а за февраль — Br354,3 тыс. Перерасчет составил всего Br22 тыс.

Читать:
Поделиться: